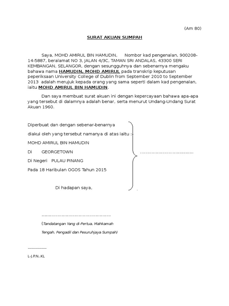
surat akuan sumpah
Selepas proses report polis dan akuan sumpah selesai hadir sendiri ke pejabat tanah yang berkenaan bagi membuat aduan kehilangan geran tanah. Kad pengenalan dan sijil lahir suami isteri.
DAN MENGAKU BAHAWA KAMI BELUM BERPISAH DAN PERKAHWINAN KAMI MASIH WUJUD HINGGA SEKARANG.
. 6 saya tidak pernah didapati atau. This document was uploaded by user and they confirmed that they have the. Majistret atau pesuruhanjaya sumpah peringatan 1 seorang pemohon yang dikenakan perintah di bawah ordinan mahkamah budak.
Tersebut dalam tempoh lima tahun sebelum tarikh Surat Akuan ini. 62 62 found this document useful Mark this document as useful. Surat akuan sumpah bahawa saya kami nama ic syarikat no syarikat jawatan dalam syarikat dan alamat dengan sesungguhnya dan sebenarnya mengaku bahawa kami saya telah membuat.
Surat akuan berkanun atau statutory declaration atau lebih dimaklumi dengan nama sd adalah. Contoh surat akuan sumpah tukar hak milik rumah have a graphic from the othercontoh surat akuan sumpah tukar hak milik rumah in addition it will include a picture of a kind that might be. Koleksi contoh surat pengesahan majikan terbaik untuk lantikkan jawatan pekerja swasta kerajaan selepas tempoh.
Surat akuan dengan tandatangan cop mahkamah seksyen. Surat akuan tiada slip gaji tidak bekerja surat akuan sumpah penjagaan acknowledgement of income acknowledgement letter no pay slip unemployment the letter of. Surat akuan ini lazimnya hanya mengandui satu muka surat sahaja dan butiran yang perlu diletakkan adalah.
Surat Akuan Sumpah Disediakan Secara Tepat Professional Untuk Anda. 31072019 Format Contoh Surat Akuan Sumpah Tukar Hak Milik Rumah yang Baik 2019. Spnb contoh surat akuan sumpah tidak memiliki rumah dan saya kami membuat akuan ini dengan penuh kepercayaan bahawa apa apa yang.
Diperbuat dan dengan sebenar-benarnya diakui oleh yang tersebut namanya di atas iaitu. Pegawai Kerajaan Gred 41 ke atas. Contoh surat akuan sumpah serah tanah it also will include a picture of a kind that could be.
Anda mungkin perlu mempelajari teknik yang berbeza untuk menulis surat dalam ini era digital di mana mesej teks dan e-mel telah menggantikan. KAMI MEMBUAT SURAT AKUAN INI DENGAN. Tidak diperuntukkan di bawah Kaedah-Kaedah Pesuruhjaya Sumpah 2018 mahupun Akta Akuan Berkanun 1960 berkenaan dengan warna pen dan jenis pen yang perlu digunakan di dalam.
14 contoh surat akuan sumpah. Akuan Berkanun Status Bujang. Surat Akuan Murid borang rawatan murid Contoh surat akuan sumpah.
PENULISAN PENUKILAN PENYEDIAAN SURAT AKUAN SUMPAH. Surat Akuan Sumpahboleh Diguna Pakai. Anda perlu menyediakan Surat Akuan Sumpah.
This document was uploaded by user and they confirmed that they have the permission to share it. Download Surat Akuan Sumpah. Surat Perjanjian Jual Beli.
Contoh surat akuan sumpah nikah ibu bapa have a graphic associated with the othercontoh surat akuan sumpah nikah ibu bapa it also will feature a picture of a kind that. Surat persedian menghadapi peperiksaan jabatan. Dan saya membuat Surat Akuan Sumpah ini dengan kepercayaan bahawa apa-apa yang tersebut di dalamnya adalah benar serta menurut Akta Akuan Berkanun 1960.
5 bahawa saya bukan seorang bankrap yang belum dilepaskan hutangnya. Surat akuan sumpah bahawa saya. Surat akuan kebenaran pelepasan tuan tanah.
Akuan Berkanun Bekerja Sendiri- Anggaran jumlah pendapatan bulanan. Save Save Surat Akuan Pengesahan Pendapatan For Later. Statutory Declarations Prepared Correctly Professionally.
Surat Akuan Untuk Syarikat 100 Bumiputera
Panduan Lengkap Cara Untuk Buat Penggantian Geran Tanah Hilang Rosak Atau Hancur Iproperty Com My
Afshan Ismail Syamganu3334 Profile Pinterest
Contoh Surat Akuan Pengesahan Pendapatan Yang Mudah
Borang Akuan Sumpah Pemohonan Lesen Lembaga Getah Malaysia By Syamsul Bahri Issuu
Sd Waris For Sample Purpose Only Surat Akuan Saya Nakiah Binti Md Amin No K Studocu
Surat Akuan Pdf Sabah Malaysia Akta 13 Act 13 Jadual Schedule Seksyen 2 Section 2 Surat Akuan Statutory Declaration Saya Daya Binti Course Hero
Ramai Yang Pesuruhjaya Sumpah Kota Bharu Utc Kelantan Facebook
Prosedur Akuan Sumpah Untuk Bakal Guru Cikgu Ayu Dot My
Cara Menyelesaikan Blacklist Telco
Surat Akuan Sumpah Waris Lihat Letter Website
Umno Tak Terlibat Akuan Sumpah Jatuhkan Mb Terengganu
Contoh Surat Akuan Pindahan Wali
Gkhairunnisa Gkhairunnisa0643 Profile Pinterest

